Filmmaker I Storyteller
About
Video
Photo & Design
Writing
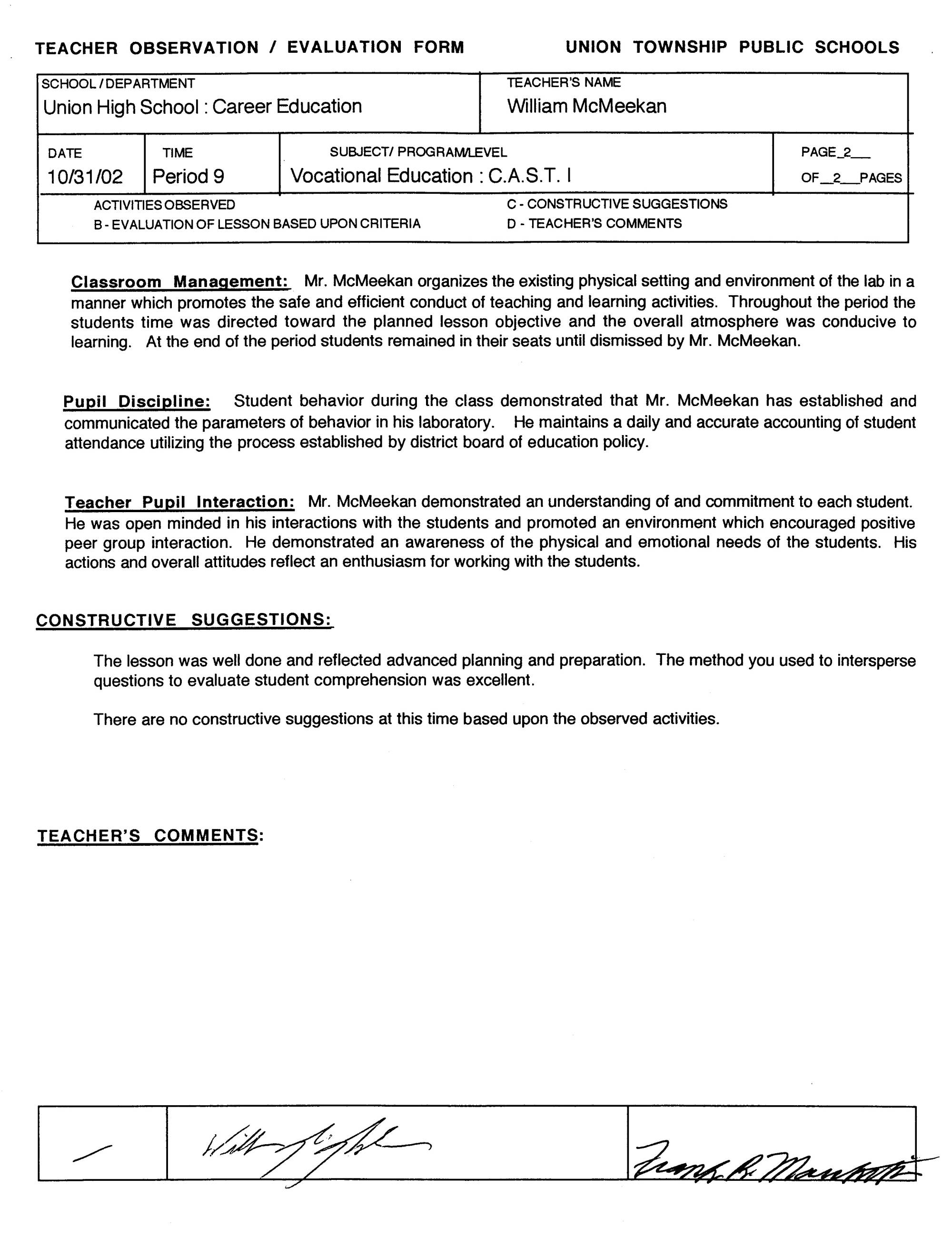
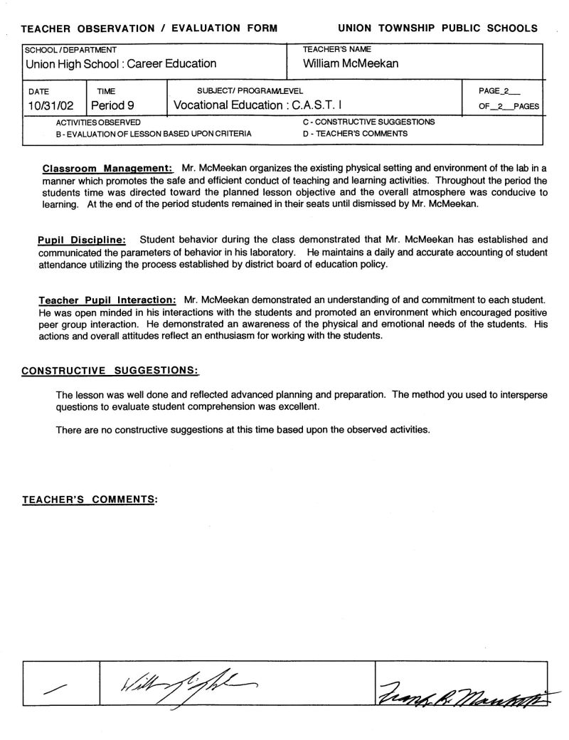
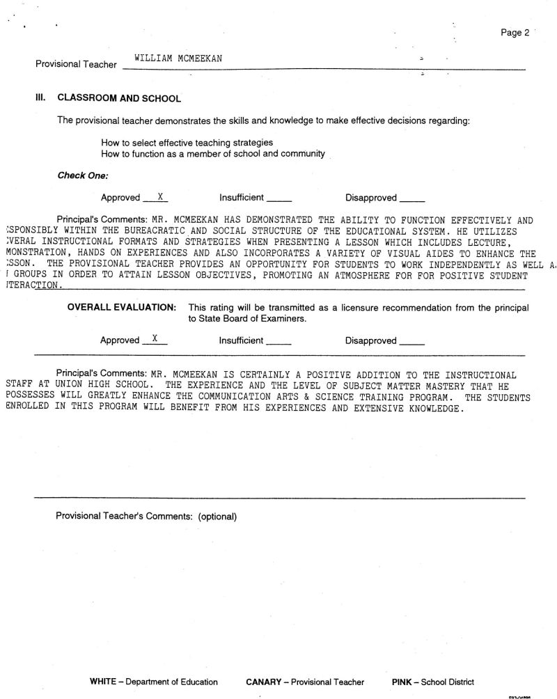
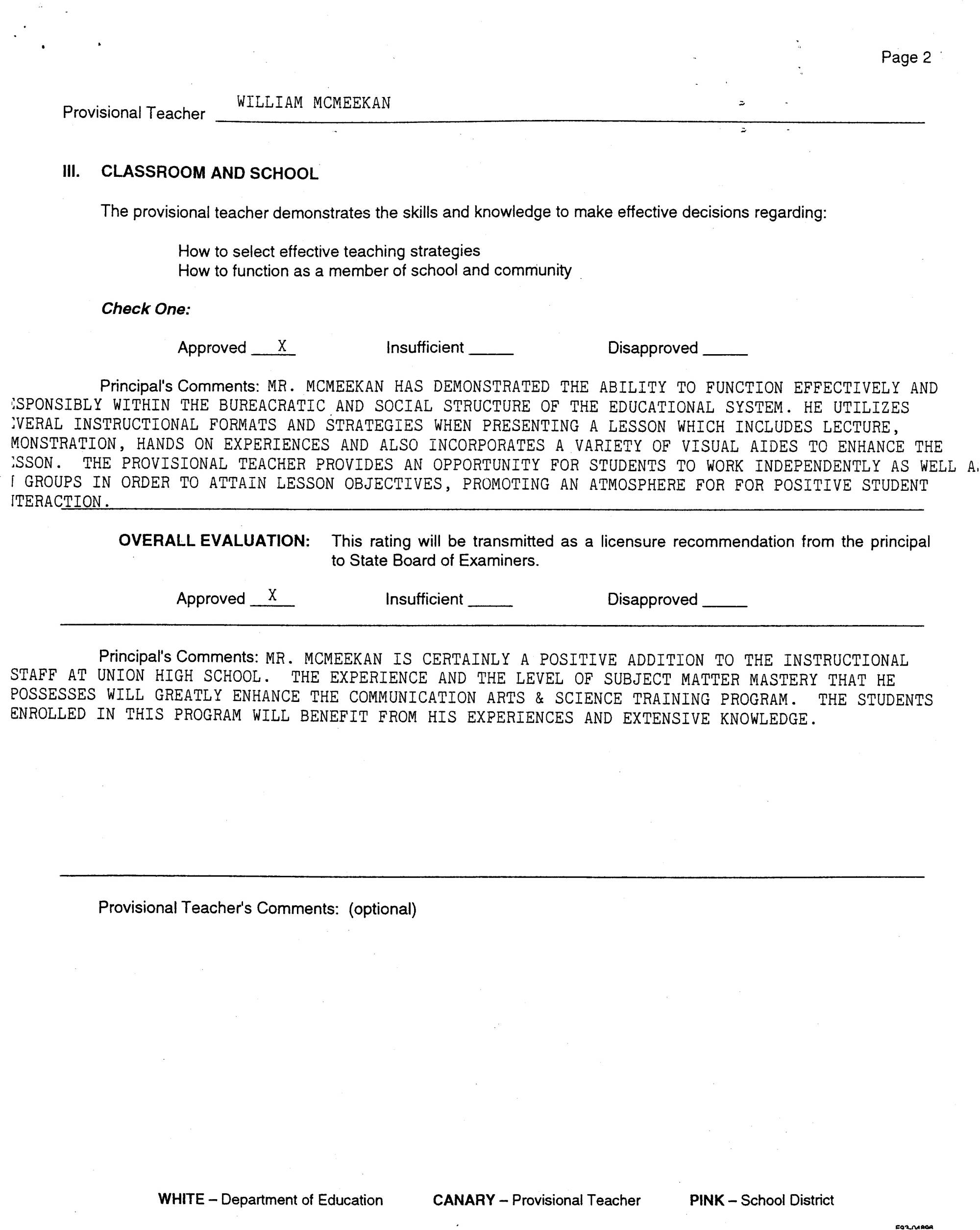
UHS Observations / Evaluations
Previous
Next
Close
Resume
Awards
Press
Westfilm
Teaching
Firefighting
Letters
Store
© Wright McMeekan I All rights reserved.
Designed with Mobirise
website
templates